双原子分子势能曲线

             

  • 本词条处于草稿阶段.

双原子分子势能曲线

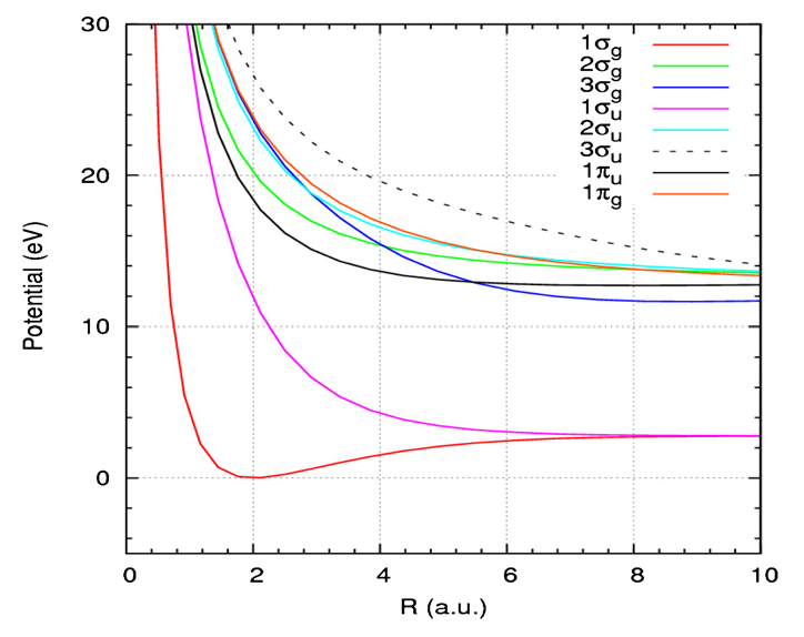
   双原子分子势能曲线(Potential Energy Curves)是认识和描述双原子分子、离子动力学最方便的工具之一,在研究双原子分子、离子的过程中被广泛地使用. 它的横坐标是原子间距,纵坐标是势能.一个典型的双原子分子势能曲线如图 11

Fig
Fig. 1:$D_2^+$ 势能曲线图

   通常在双原子分子势能曲线图中,不同电子态的曲线会在势能曲线旁边标注.通过使用势能曲线,我们可以更好地认识和描述双原子分子的电离、解离等过程.


1. ^ 图片来自:Li,H,et al."Intensity dependence of the attosecond control of the dissociative ionization of D2." Journal of Physics B Atomic Molecular & Optical Physics 47.12(2014):124020

         

© 小时科技 保留一切权利